| View previous topic :: View next topic |
| Author |
Message |
Floyd Forum-Orakel

Joined: 20 Mar 2001 Posts: 2913
Location: Dresden, Germany
|
Posted: 01.10.2002, 22:32 Post subject: Ostern ist ja nicht mehr weit ... |
|
|
... denn beim Bäcker habe ich heute schon die ersten Stollen liegen sehen, und Pfefferkuchen gibts auch schon.
Für alle die es bisher nicht geschafft haben:
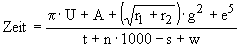
Kochzeitberechnung eines Hühnereis
--------------------------------------------------------------------------------
Die Kochzeit eines Ei beträgt im Normalfall 5 min.
Man kann jedoch über die Rudolfsche Formel die Garzeit eines Ei's genau ermitteln.
Die Formel lautet:
U = Umfang des Eies in der horizontalen Ebene
A = Umfang des Eies in der vertikalen Ebene
e = elliptisches Verhältnis der Rundungskoeffizienten
r1 = Radius der Eierstirnseite
r2 = Radius der Eierunterseite
g = spezifisches Gewicht des Eies parallel zur Fallgeschwindigkeit aus 1 m Höhe
t = Wärmeausdehnungskoeffizient des Eies
n = Zugfestigkeit des Eies
s = Kerbschlagfestigkeit des Eies
w = Härte der Eierschale nach Brinell
Die Kochzeit jedes Eies muss selbstverständlich einzeln ermittelt werden.
Die Formel bezieht sich hierbei auf den Faktor 'Medium'.
Möchten Sie das Ei gerne 'Englisch' haben, so addieren sie zum elliptischen Verhältnis
der Rundungskoeffizienten noch zusätzlich die Temparatur des Eies, in dem es in den gasförmigen Zustand übergeht, und teilen es durch die Kathete der Hypothenuse der Kreisabschnittsfläche auf der Höhe, die im 2. Sektor des Eisegmentes anzufinden ist.
Wir wollen hoffen, dass es in Kürze ein Programm gibt, die die Kochzeit eines Eies komfortabler ermitteln lässt.
--------------------------------------------------------------------------------
Quelle leider unbekannt (aber irgend ein Schlaumeier wird sie schon finden)
Blaue Bürsten mit braunen Borsten bürsten besser als braune Bürsten mit blauen Borsten.
|
|
| Back to top |
|
 |
Do_Dildo Shadowdancer

Joined: 15 Feb 2001 Posts: 383
Location: Maldives
|
Posted: 02.10.2002, 00:14 Post subject: |
|
|
ich würde sagen Pi X Daumen plus minus 1 minute!
---------------------------------------------------------------------------
"Diplomatie ist die Kunst, mit hundert Worten zu verschweigen, was man mit einem einzigen Wort sagen könnte.
(Saint-John Perse, fr. Lyriker u. Diplomat, 1887 -1975)
|
|
| Back to top |
|
 |
Dark Forum-Nutzer

Joined: 15 Nov 2001 Posts: 1244
Location: Berlin
|
Posted: 02.10.2002, 13:57 Post subject: |
|
|
quote:
g = spezifisches Gewicht des Eies parallel zur Fallgeschwindigkeit aus 1 m Höhe
bei meinen versuchen die fallgeschwindigkeit zu ermitteln war das
ergebnis immer spiegelei
Dark
...gebt mir mehr davon !
|
|
| Back to top |
|
 |
Aga Forum-Nutzer

Joined: 29 Jun 2001 Posts: 756
Location: weit draussen bei Berlin
|
Posted: 02.10.2002, 19:23 Post subject: |
|
|
Ich knutsche mein Mädel so lange, bis die Eier hart sind. Dann sind die Hühnereier auch fertig
Betet, das ich es auch noch schaffe. Doch ich bin dran.
|
|
| Back to top |
|
 |
Vengeance Forum-Nutzer

Joined: 11 Feb 2002 Posts: 1338
Location: Hünfeld
|
Posted: 03.12.2002, 10:44 Post subject: |
|
|
HÄÄÄÄÄÄ????????
Kommt ein Hund aus´m Kino und tritt auf´n Keks.
|
|
| Back to top |
|
 |
Do_Fuchs Ich putze hier nur
Joined: 03 Mar 2001 Posts: 480
Location: Haiti
|
Posted: 03.12.2002, 16:04 Post subject: |
|
|
Jetzt fehlt nur noch der Sortier-Algorithmus für braune und weiße Eier.
Wer Rechtschreibfehler korrigiert oder nachmacht oder sich korrigierte oder nachgemachte Rechtschreibfehler verschafft oder korrigierte oder nachgemachte Rechtschreibfehler in Umlauf bringt ist RAUS!
Bearbeitet von - Do_Fuchs am 03 Dez 2002 16:21:31
|
|
| Back to top |
|
 |
Dark Forum-Nutzer

Joined: 15 Nov 2001 Posts: 1244
Location: Berlin
|
Posted: 03.12.2002, 17:30 Post subject: |
|
|
... und grünen eiern
Dark
...gebt mir mehr davon !
|
|
| Back to top |
|
 |
Do_Fuchs Ich putze hier nur
Joined: 03 Mar 2001 Posts: 480
Location: Haiti
|
Posted: 03.12.2002, 17:30 Post subject: |
|
|
Viele viele bunte .......
Wer Rechtschreibfehler korrigiert oder nachmacht oder sich korrigierte oder nachgemachte Rechtschreibfehler verschafft oder korrigierte oder nachgemachte Rechtschreibfehler in Umlauf bringt ist RAUS!
|
|
| Back to top |
|
 |
Diti Forum-Nutzer

Joined: 04 Apr 2002 Posts: 702
Location: Zuerich ZH, CH
|
Posted: 03.12.2002, 18:06 Post subject: |
|
|
Ja, das ist nicht trivial. Die von Floyd dankenswerterweise gepostete Formel hat
naemlich genau DIESEN Haken, dass sie die Spektralanisationseigenschaften der Eier
vernachlaessigt.
Es muss sicherlich noch ein Korrekturfaktor SKF (Spektralanisations-Korrektur-Faktor) mit eingebunden werden der diesen Umstand
mit beruecksichtigt, WILL man korrekt gekochte Eier haben um seine(n) Lebenspartner(in) damit zu begluecken.
Wenn man mal von einem Lilafarbenem Ei ausgeht, was, dank des Kurzwelleneffekts
eine deutlich kuerzere Kochzeit besitzt als
z.B. die gruenstichige Ei-Variante oder gar
gelbe Version, so duerfte sich (angenaehert)
folgende Wertetabelle ergeben:
lila: 1
gruen: 1,4
gelb: 1,65
rot: 1,84
Dies sind natuerlich nur Aproximationen aber
solten fuer den praktischen Bedarf ausreichend sein.
Ich hoffe damit weitergeholfen zu haben und
wuensche allerseits noch eine froehliche Ostern.
MfG, D.H. G. - FMTAR (DIW)
--------------------------------------------------------------------------
Du magst keine Spinnen? - SIE moegen Dich auch nicht!
|
|
| Back to top |
|
 |
sattmacher Forum-Nutzer

Joined: 18 Aug 2001 Posts: 334
Location: Erkner
|
Posted: 03.12.2002, 19:12 Post subject: |
|
|
Dann brauche ich also diese überall erhältliche,Sortieralgorithmusspektralanisationsuhr!!!!! Kurz SASKF-Uhr(EIERuhr) dazu um die Eier auch nach Euren Berechnungen pünktlich aus dem Wasser zu nehmen.Sehe ich das richtig? Was könnte soeine Superuhr wohl kosten?    
"ICH MACH EUCH SATT"
|
|
| Back to top |
|
 |
sattmacher Forum-Nutzer

Joined: 18 Aug 2001 Posts: 334
Location: Erkner
|
Posted: 03.12.2002, 19:21 Post subject: |
|
|
Und dann brauche ich ja diese Sortieralgorithmusspektralanisationsuhr ja auch noch in der Ausführung mit dem Aproximationenerkennungssystem,wegen den verschiedenen Farben,dann isse natürlich um einiges teurer!!!!!!
"ICH MACH EUCH SATT"
|
|
| Back to top |
|
 |
Dark Forum-Nutzer

Joined: 15 Nov 2001 Posts: 1244
Location: Berlin
|
Posted: 04.12.2002, 01:37 Post subject: |
|
|
quote:
Und dann brauche ich ja diese Sortieralgorithmusspektralanisationsuhr ja auch noch in der Ausführung mit dem Aproximationenerkennungssystem,wegen den verschiedenen Farben,dann isse natürlich um einiges teurer!!!!!!
das kannst du umgehen in dem du die eier im dunklen kochst.
dann hat nämlich die farbe keinen einfluß auf die kochdauer.
Dark
...gebt mir mehr davon !
|
|
| Back to top |
|
 |
D3Mac Airbus

Joined: 30 Jan 2002 Posts: 107
Location: Edemissen
|
Posted: 04.12.2002, 04:21 Post subject: |
|
|
hey floyd,
wie verhält sich das auf dem mount everest auf dem das wasser schon bei unter 80° celsius kocht ???
The Only Way To Travel Is To Fly !
|
|
| Back to top |
|
 |
sattmacher Forum-Nutzer

Joined: 18 Aug 2001 Posts: 334
Location: Erkner
|
Posted: 04.12.2002, 12:20 Post subject: |
|
|
also ich wohne ja ein bischen höher wie der mount everest,851m ÜN und deswegen habe ich mir auf grund dieses "EIERKOCHFEHLVERHALTENS"jetzt einen SORTIERALGORYTHMUSSPEKTRALANISATIONSHERD mit eingebauter APROXIMATIONSERKENNUNGSUHR und einstellbarer EIERFARBENFEHLVERHALTENHÖHENHERDPLATTE gekauft.der absolute hammer,vier einstellbare jahreszeiten,weil im winter kochen ja die eier auf 851m anders wie im sommer und der hit-die platte erkennt die farben !!!!!!!!!!   
"ICH MACH EUCH SATT"
Bearbeitet von - sattmacher am 04 Dez 2002 11:23:16
|
|
| Back to top |
|
 |
Reeene Forum-Nutzer
Joined: 06 Jan 2002 Posts: 64
Location: Lichte
|
Posted: 04.12.2002, 13:18 Post subject: |
|
|
Ich will auch so eine!!! Au AU tut das weh !LOL
|
|
| Back to top |
|
 |
D3Mac Airbus

Joined: 30 Jan 2002 Posts: 107
Location: Edemissen
|
Posted: 04.12.2002, 15:46 Post subject: |
|
|
hmmm werde mal ausprobieren die eier im vacuum zu kochen. spart vielleicht ne menge energie weil das wasser im vacuum schon bei normaler raumtemperatur kocht. aber dann brauchen die eier sicher 32 stunden um einigermaßen hart zu werden oder die küken schlüpfen vorher
mac
The Only Way To Travel Is To Fly !
Der Name Airbus und das Airbus-Logo sind eingetragene Warenzeichen von Airbus Industries
|
|
| Back to top |
|
 |
Do_Fuchs Ich putze hier nur
Joined: 03 Mar 2001 Posts: 480
Location: Haiti
|
Posted: 04.12.2002, 16:23 Post subject: |
|
|
Naja ich denke mal das du für eine Vakuum Eierkochvorrichtung mit Farberkenung doch deutlich mehr Energie benötigst als für die oben genannte Methode. Aber wie wäre es mit einem Induktionseierkocher da müßten die Farben ja egal sein.
Wer Rechtschreibfehler korrigiert oder nachmacht oder sich korrigierte oder nachgemachte Rechtschreibfehler verschafft oder korrigierte oder nachgemachte Rechtschreibfehler in Umlauf bringt ist RAUS!
|
|
| Back to top |
|
 |
Do_Checkor Administrator

Joined: 19 Nov 2000 Posts: 7774
Location: Oldenburg (Oldb.)
|
|
| Back to top |
|
 |
Do_Fuchs Ich putze hier nur
Joined: 03 Mar 2001 Posts: 480
Location: Haiti
|
Posted: 04.12.2002, 16:44 Post subject: |
|
|
der gute alte Tittenkocher mit Stönomatik
Wer Rechtschreibfehler korrigiert oder nachmacht oder sich korrigierte oder nachgemachte Rechtschreibfehler verschafft oder korrigierte oder nachgemachte Rechtschreibfehler in Umlauf bringt ist RAUS!
|
|
| Back to top |
|
 |
sattmacher Forum-Nutzer

Joined: 18 Aug 2001 Posts: 334
Location: Erkner
|
Posted: 04.12.2002, 17:44 Post subject: |
|
|
wo haste denn das ding her,sowas suche ich schon seit jahren?????????
"ICH MACH EUCH SATT"
|
|
| Back to top |
|
 |
|